※ [本文轉錄自 C_Chat 看板 #1a-sKSfu ] 作者: DJYOSHITAKA (franchouchouISBEST) 看板: C_Chat 標題: [少歌] 完美的少女歌劇劇場版不存ㄗ... 時間: Sat Sep 9 02:16:49 2023 今天終於去看了捏 https://i.imgur.com/6lU3S5p.jpg
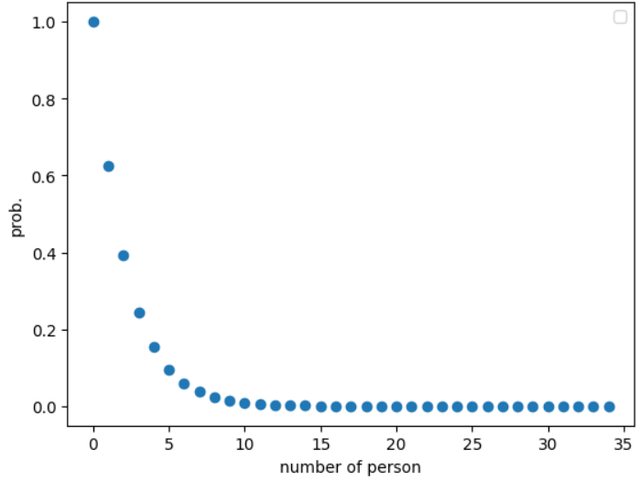
拿到天堂真矢 好棒喔 就差克洛就可以湊滿迷宮組了<3 好吧離題了 看完這次劇場版 我就想問幾個問題 不要在電影院睡到打呼有這麼難ㄇ 不要在性交高速公路的時候要跟我借過能ㄇ 不要在迷宮組做愛的大聲翻包包找東西來喝好ㄇ 是不是有某種力量或是誰想要我再來看一次 才創造了好像不是那麼完美的一場少女歌劇 但其實你也不用這麼麻煩ㄚ 不就是再去看個幾次有這麼難嗎 幹嘛大費周章給我這麼多驚喜 在回來的捷運上 偷偷哼著私たちはもう舞台の上 邊想了一下 人的一生 要碰到一場完美的劇ス有多難 又或者是 你要看幾場才有機會遇到一場你心目中的那場 什麼是完美的劇ス? 1. 螢幕上的東西: 安定的完美 不用討論 那個車庫的歌詞我當沒看到 2. 不要有人上廁所跟我借過: 雖然這樣說很不好意思 每個人生理狀況不一樣 但跟我借過上廁所真的會讓我分心一下 對不起 3. 不要突然大聲翻找包包裡的水瓶: 喝水生理需求我了解 但你可不可以先把水瓶拿出來== 4. 不要有人睡到打呼: 這個要求應該不高吧 唉 再來做一些假設好了 第一個是電影院 我這邊挑了桃園新光影城的ACG廳 新光影城一天是兩場 第二個是人數 這周末假日人會比較多 而且禮拜六9/9又有活動 我就假設9/9這天比較滿且是最多人的時候 35個人好了 後面就照指數遞減 啊這種模型 我也不知道怎麼用 就把e用進來應該就對了吧 假設y是人數 x是第幾場 第0場就9/9早場 y = floor(35*e^(-0.2x)) 就長下面這樣 https://i.imgur.com/DGtW6k2.png
5場後會剩12個 大概18場後人數就會歸零了 以新光影城一天兩場的頻率來看 大概九天後就沒人要看了 可能差不多吧 第三是座位分布 新光影城ACG廳座位是這樣子的 https://i.imgur.com/T5iIbWT.png
就假設我每次都坐打勾這個位子吧 然後以電影院的習性 應該有大概80%的人會劃位在我的5*7範圍內 就紅框範圍 上面人數最多假設35人 那代表這範圍應該是不會滿 也比較好算 第四是不要有人上廁所 這邊就簡單一點吧 我只看紅框裡的這35個位子 如果這35個位子有人在這兩小時去廁所 我覺得我都會稍微被影響到 正常人一天排尿大概是兩小時一次 但看電影你應該可以忍吧 假設忍一下一個人一天可以四小時一次 那這樣就是兩小時半次 這邊假設隨機變數X是某一個人在這兩小時去尿尿的次數 以兩小時半次的頻率來算X∈Poisson(0.5) 那一個人在這兩小時內尿尿次數=0的機率就是P(X=0) = e^-0.5 * 0.5^0 / 0! = e^-0.5 ~= 0.60653 第五是不要翻找包包大聲拿水瓶 也算紅框內就好了 查了一下 人的腎臟每20分鐘只能吸收200ml的水量 所以一次也不能喝太多 衛福部建議 成人一天應該要喝6~8杯240ml的水 這邊算8杯 一個成人一天醒著16小時 喝八杯的話一樣每兩個小時一杯 按照上面一樣算法 X∈Poisson(1) P(X=0) = e^-1 * 1^0 / 0! = e^-1 ~= 0.36788 但是喝水怪人 應該只占10%吧 所以遇到喝水怪人且剛好他這小時有喝一次水以上 就視為不完美 一個人大概會有 0.1 * (1-0.367879) = 0.06321 的機率會發作 第六是不要有人睡到打呼 這個有點難估 我估計是想要看少女歌劇的人可能是個15歲以下的小弟弟小妹妹 帶著爸媽或阿姨來看 但長輩覺得太無聊就直接睡死了 十五歲以下的比例 我這邊找了兩小時網路資料 好像沒特別統計少女歌劇的受眾年齡 我這邊有另外找到以前某屆動漫展年齡層分布 https://i.imgur.com/RCcOA67.png
好吧好像沒什麼參考性 尤其是對於少女歌劇來說 不然就也抓個5%吧 20個裡面會有1個15歲以下 然後有1/3的機率會帶一個長輩來 所以大概就60個觀眾會額外多1個長輩吧 長輩的機率大概就是1/61 ~= 0.01639 幾個假設都齊了 在紅框內我需要的條件是 這裡面所有人都 "沒有上廁所 且 不是喝水怪人 且 不會睡到打呼" 假設這幾個條件都是獨立的喔 那一個人要符合這些條件 機率大概會是 0.60653 * (1-0.06321) * (1-0.01639) = 0.55888 紅框外條件比較寬鬆 只要符合 "不會睡到打呼" (1-0.01639) = 0.98361 假設某一場有n個人好了 所以紅框內有0.8n個人 紅框外會有0.2n個人 符合完美的機率會是 0.55888^(0.8n) * 0.98361^(0.2n) 畫出來大概長這樣吧 https://i.imgur.com/tNcYe8n.png
0人 -> 只有我自己 -> 100%完美 1人 -> 0.62578 2人 -> 0.39160 ... 最後再來搭上一開始的人數假設吧 假設我從明天早場就一直去看 看第一場是完美的機率會是 n=35帶入 ~= 7.49342664114381e-08 看第二場 n=28帶入 ~= 1.994088220448798e-06 依此類推 假設k為第幾場 k從0開始 那麼我要看幾場才會看到第一場完美少女歌劇的期望值大概就會是 P(k=0) * 1 + (1-P(k=0))*P(k=1) * 2 + (1-P(k=0))(1-P(k=1))P(k=2) * 3 + ... 我這邊掐指一算 這樣大約會是12.83770次啦 那也沒有想像中多啊== 原來看到心目中的那場劇ス 好像不是那麼難馬 多來幾個吉普龍 或是多來幾個打call怪人也沒關係 我現在又有動力了 我 再生產! 等等睡覺馬上起來去看 耶 啊對了好像已經是9/9耶 99組之日應該要大肆慶祝吧 那就發錢吧 11p * 99 你問我為什麼是11p 這是克洛的座號 還剛好可以整除99 99 = 9 * 11 好厲害 好漂亮 對吧 絕對不是因為我沒錢捏 最後許願バンドライブ11/5要抽到票捏 這樣就可以三天看五場 PPP MyGO!!!!! RAS 九九組*2 哪有這麼爽的事情 我好性糞 對ㄚ== -- https://i.imgur.com/dB012NL.jpeg
https://i.imgur.com/pLRuR3D.jpeg
-- ※ 發信站: 批踢踢實業坊(web-ptt.tw), 來自: 125.228.146.144 (臺灣) ※ 文章網址: https://web-ptt.tw/C_Chat/M.1694197020.A.A78
leon4287: 好可憐QQ 09/09 02:19
teresa4785: 長頸鹿的文章都這麼怪的嗎(? 09/09 02:20
twosheep0603: ...你們要不要乾脆找影廳談發廚包場XD 09/09 02:22
wingthink: 看不懂也要說我明白 09/09 02:22
ging1995: OK 09/09 02:23
Jiulon: 這個包養網正妹好多 是真的嗎 09/09 02:23
yamihonoo: 好 09/09 02:24
nisioisin: 錢 09/09 02:25
houm948: 我看不懂 但是我明白 09/09 02:25
LANJAY: 你要講的我明白 但數學我不明白 09/09 02:26
jeffstjeff: 好 09/09 02:37
laetuon: 真的有這麼多人在找包養 09/09 02:37
hank32036: 好 09/09 02:40
organic3321: 好 09/09 02:41
njnj258: 好 09/09 02:41
Irene309: ? 09/09 02:45
hshshs66384: ? 09/09 02:50
slot365: 有人可以分析一下包養平台的差異嗎 09/09 02:50
b77889999: 這次我真的不明白了 09/09 02:52
aram9527: OK 09/09 02:56
acekj: 好 09/09 02:59
klose11111: 好 09/09 03:02
aspdaspd: 我明白 09/09 03:02
colortea: 那個包養網人最多XD 09/09 03:02
ig49999: 錢 09/09 03:03
s8018572: 論百合瘋子文 09/09 03:05
kevintseng9: ??? 09/09 03:07
MeIKo8502: 錢 09/09 03:08
Dayton: 莫名其妙的認真耶www 09/09 03:15
glenber: 我妹上包養網被我發現= = 09/09 03:15
future1: 好 09/09 03:19
binchilling: 推 09/09 03:21
HHiiragi: 優文 09/09 03:23
ClannadGood: 好 09/09 03:28
SonyXperia5: 錢 09/09 03:29
Kimbel: 隔壁桌的人竟然在討論包養... 09/09 03:29
r901700216: 我想說我明白但我不明白 09/09 03:32
bmtuspd276b: 好 09/09 03:38
steven3QXD: 好 我 再生產 09/09 03:39
keroro484: 百合瘋子文越來越多了 09/09 03:43
rara3311: 好 09/09 03:47
tale1890: 樓上是不是被包養 09/09 03:47
general0627: 又 09/09 03:57
badend8769: 有點可憐的感覺== 09/09 04:01
fly0204: 蛤? 09/09 04:13
explosion777: 沒錯 09/09 04:15
karta3159907: 推 09/09 04:21
waterway: 樓下被包養 09/09 04:21
DVDDDDDDDD: 戒斷症的恐怖之處 09/09 04:24
SweetRice: 99999 09/09 04:24
KsonPjk4ever: 推 09/09 04:25
lacoste1113: 為什麼一堆少歌粉都長這樣== 09/09 04:26
LoKingSer: ??? 09/09 04:39
mark1888: 現包養都上檯面了嗎 09/09 04:39
mi324: 好 09/09 04:44
anonaxa: 一股狂氣撲面而來www 09/09 04:54
ZooseWu: 3 09/09 04:54
topfree: 推推 09/09 05:14
dadalakun: 好 09/09 05:36
Quaranta: 在包養網遇到朋友= = 09/09 05:36
jeeplong: 寶 在刷一次少歌 再看一次的話 我們一定就不會這麼怪了 09/09 05:39
qqqaz9527tw: 不會,越看越怪 09/09 06:00
Mikufans: 好 09/09 06:09
outsmart33: 好 09/09 06:32
CollinSexton: 好 09/09 06:44
schlemm: 問卦:有包養SD的卦嗎 09/09 06:44
c27932589: 9999999 09/09 06:45
Niuromem: 你怎麼少計算了踢椅背怪人 09/09 06:51
x935315: 有點高深 09/09 06:57
steven11346: 推 09/09 06:59
choco7: 原來我第一場就看到最完美的 09/09 07:38
Wirol: 隔壁桌好像是包養SD在見面XD 09/09 07:38
converse0201: 在不可預測的舞台後是不可預測的心得文嗎 我明白 09/09 07:43
pohj: ok 09/09 07:50
bigbeat: 賀 09/09 07:53
Excrement35: 好 09/09 07:59
s67639: 推 09/09 07:59
marecht: aSugarDating = 包養SD? 09/09 07:59
janfat: 好 09/09 08:08
JenniferLope: 好.. 09/09 08:12
shanjie: 專業XDD 09/09 08:27
nozomizo: 太苦了 09/09 08:29
gm3252: 笑死,下次要去講一下我幫忙佔一個不吵上廁所的位置 09/09 08:31
riokio: 未看先猜這包養網 09/09 08:31
an94mod0: 小羊<3 09/09 08:32
aa1052v: 又瘋了一個... 09/09 08:33
Darnatos: 數學好好用 09/09 08:39
a1487546: 突然變數學課 09/09 08:41
inte629l: 怎麼連機率論都出來了啦w 09/09 08:52
wiimas: 有人知道包養SD是什麼嗎 09/09 08:52
loliconOji: ?? 09/09 08:53
inte629l: 順便把一直開手機螢幕的分心仔算進去QQ 09/09 08:55
waywingway: 踢椅背的距離也幫我算一下 09/09 09:05
Enigma227: 好 09/09 09:05
cyclone055: 蛤? 09/09 09:09
Branlli: 一定又是這包養網 09/09 09:09
epidemic000: 怪人好多 09/09 09:17
s964939: 錢 09/09 09:24
ricky9696: 居然變數學課,這難道是不可預測的心得文 09/09 09:24
charlie5652: 優w文w 09/09 09:24
mkcg5825: 腦袋被匕首刺穿了 09/09 09:30
Cinedt: 包養平台不意外 09/09 09:30
t128595: 好 09/09 09:44
kui5024: 捏 09/09 09:51
alljerry04: https://i.imgur.com/wRRZc5y.jpg 09/09 09:59
Jin476: 又瘋了一個 09/09 10:00
tab222777: 為什麼算起數學來了啦XDDD 09/09 10:01
Drither: 覺得包養網EY嗎 09/09 10:01
p2p8ppp: 又又瘋了一個 09/09 18:49
steven11346: 推 09/09 19:00
aaa856262: 怎麼突然變數學課拉XDDD 09/10 16:38