日本濾鏡拿掉 推文某位講的 三菱電機/パナソニック/富士通 大約給薪就下面這水準 (下面數字為三菱電機) 大學畢初任23萬日幣 碩士畢初任25.7萬日幣 企業平均827萬日幣/41.3歲 平均年資16.9年 827萬日幣什麼水準? 這個年收實質稅率大概27% 稅後610萬日幣/合台幣130萬左右 幹個17年 稅前到手8-900萬日幣 這是絕大多數所謂“大手”商社現況 年薪想過千萬 沒課長、部長你想都不要想 換成在台灣的企業 幹17年才給130、140萬 你會覺得有什麼前途???? 不要騙了 就台灣爛傳產 狗都不去 ※ 引述《ArtisanPizza (提神P傻)》之銘言: : 昨天日本的同學和我提了近況 : 九工大機械知能工学科 : 台灣來說應該算是...導入智能設計的自動化機械系吧? : 研究是做熱電デバイス(車用的熱力材料) : 在應屆畢業生招募的就職活動 : 拿到一家叫日揮的石油工程公司的offer : 後來因為他住九州的關係,靠近熊本 : 便問他,為甚麼沒有想過進半導體產業呢? : 而且理工背景的研究所畢業要進台積很容易啊 : 他說,台積在日本很難進, : 不想進半導體產業是因為要坐飛機跑來跑去 : (我猜他想說的是半導體業常常要跑海外洽商或進修) : 而且也不想要經常性國內轉調(中長期出差) : https://i.imgur.com/nQEkpxl.jpeg
: 所以比較想要進工程公司或者綜合商社 : 不過日本同學也提到,他有認識的朋友在JASM : 至於薪水多少跟公司穩定性他覺得倒是其次 : (因為聊天紀錄有點長,這段沒有包含在截圖) : 台積對日本理工學生沒有吸引力嗎? : 還是因為台積對機械系不友善,所以索性就說比較沒興趣? : 可是才剛設廠階段,職缺也滿多的,應該不至於到難進才對 : 台灣機械所的畢業生第一二志願大概就台積了沒錯吧? : 機械所 電物所 材料所 都是台積人力的大本營 : 台積在日本很難進嗎?2座FAB的人力需求很大才對吧? : 為甚麼一家日揮的土木工程公司,能勝過台積JASM呢? : 況且那家公司在橫濱,離九州也遠,九州的畢業生首選是JASM才對... : 在日本,機械所畢業應該選哪一間公司比較好呢? ----- Sent from JPTT on my Xiaomi 2210129SG. -- ※ 發信站: 批踢踢實業坊(web-ptt.tw), 來自: 1.175.35.105 (臺灣) ※ 文章網址: https://web-ptt.tw/Tech_Job/M.1711719178.A.5D2
acidrain : 台灣平均薪資才60萬 03/29 21:58
avgirl : 日本企業給薪不是只看錢啊 一堆津貼那些呢? 03/29 22:00
avgirl : 就想坐辦公司誰跟你待現場工廠,台灣人是沒得選 03/29 22:01
avgirl : 辦公室 03/29 22:01
avgirl : 不過台灣沒台積的話後,應該跟越南菲律賓差不多了 03/29 22:02
Branlli: 交男友跟包養有什麼差別 03/29 22:02
p23j8a4b9z : 薪水連發弟都不如 換成日本就香了 這件事真的很奇怪 03/29 22:43
cityhunter04: 唬爛跟菲律賓一樣…你把海邊當假的? 03/29 23:16
rewisyoung : 這薪水輸系統廠幹5年吧 除非工時很低不然單看錢真 03/29 23:43
rewisyoung : 的很沒優勢 03/29 23:43
FuYen : ...那才不叫商社叫製造業 真正大手商社三年就過千 03/29 23:45
Cinedt: 包養網到底在紅什麼? 03/29 23:45
softflame : 所以你的意思是在日本台積給的還是比較多 03/29 23:46
FuYen : 製造業差不多就這個數字 穩定福利好還是一堆人想擠 03/29 23:50
silver5566 : 如果一般職缺就130那很多了,又不是每個都科技業 03/30 00:41
ScottBrooks : 日本薪水本來就很糞啊 03/30 00:51
goheihaley : 日本稅比台灣要重很多 還有厚生年金及相對貴的健保 03/30 01:03
Drither: 有人被包養 03/30 01:03
goheihaley : 費要繳囉 03/30 01:03
jkl852 : 這三家又不是大手商社 為啥前言不接後語 03/30 02:15
askaleroux : 樓上 這三間已經是 重電八社 大手MAKER 03/30 08:09
askaleroux : 你要全日本只有商社能拿來比嗎 03/30 08:10
f1986715 : 這篇方向正確,我有幾個朋友就在上述的電機大手上班 03/30 08:40
Notker: 求包養...管飽就好XD 03/30 08:40
f1986715 : ,不過,有個朋友是機械相關的,台灣讀機械大部分都 03/30 08:40
f1986715 : 是去當機構,不然就是去低薪傳產,日本機械還是比較 03/30 08:40
f1986715 : 強的。 03/30 08:40
f1986715 : 當然如果願意去當設備或是去半導體設備商當CE,還是 03/30 08:41
f1986715 : 台灣屌打 03/30 08:41
Peycere: 阿姨!我不想努力了(求包養) 03/30 08:41
nelley : 很難過的是日本這種糞薪水但一般日本人還是買的起 03/30 08:41
nelley : 房,車也比台灣便宜 03/30 08:41
f1986715 : 台灣也是買的起啦啦,說真的,敢不敢貸下去而已,而 03/30 08:43
f1986715 : 且台灣房子會漲,繳不出來被法拍搞不好還賺咧,日本 03/30 08:43
f1986715 : 房子除了首都圈,狂漲的沒聽過就是了。 03/30 08:43
vd422: 有沒有富二代要包養 03/30 08:43
pujos : 一般日本人買得起房子,自有率會這麼低? 03/30 09:04
pujos : 日本薪資統計另外一個盲點是兼職是不計入全職,而這 03/30 09:06
pujos : 部分人在日本占三成,虛高非常多 03/30 09:06
kriswu8021 : 看一群低收的在這裡吹日本多好 殊不知日本低薪也不 03/30 10:02
kriswu8021 : 收垃圾lol 03/30 10:02
lutano: 身邊有朋友被包養 03/30 10:02
nelley : 自有率低是因為日本租屋保障好,不但不會隨意被漲 03/30 10:14
nelley : 租,也不能隨便趕走租客。租跟自有的差距不像台灣 03/30 10:14
alongalone : 很奇怪的算法. 日本薪資確實比台灣高阿 03/30 10:31
zonppp : 狗都不去...笑死 03/30 10:40
CorkiN : 說日本人買得起房子被回自有率低馬上就改口說因為 03/30 10:47
muiwo: 亞洲最大包養平台上線了 03/30 10:47
CorkiN : 租屋保障好kappa 03/30 10:47
CorkiN : 真的覺得那麼好就快去啦不用整天在那意淫覺得自己 03/30 10:48
CorkiN : 出國了就能幹嘛幹嘛 03/30 10:48
juven030129 : 台灣也不能隨意漲跟趕人吧,不也是照契約走?很常 03/30 11:36
juven030129 : 看到說歐日房東不能漲租,真的是不知哪來的都市傳 03/30 11:36
sunuzo: 包養SD = SugarDaddy? 03/30 11:36
juven030129 : 說 03/30 11:36
cosmite : 03/30 11:49
CowBaoGan : 這待遇比系統廠還慘.... 03/30 11:57
abc5555990 : 想在日本生活 這水準可以了啦 用台灣標準比 03/30 12:13
abc5555990 : 只能去美國矽谷了 03/30 12:13
UNIQC: 這個包養網正妹好多 是真的嗎 03/30 12:13
payneblue : 真的慘 但主要是不用擔心中年會被裁員 03/30 12:23
abc5555990 : 從我們角度看是很慘 但在日本算過得不錯了 03/30 12:27
abc5555990 : 他們中位數才400多萬日圓(實際可能更低) 03/30 12:27
alihue : 你好歹也拿相同 PR 的來比= = 03/30 12:45
alihue : 還什麼商社都這種薪水 講得真的有做過功課XDD 03/30 12:47
dewaro: 真的有這麼多人在找包養 03/30 12:47
alihue : https://i.imgur.com/14570h1.png 03/30 12:55
alihue : 要找到破千萬的商社也是一堆好嗎 03/30 12:55
alihue : https://i.imgur.com/13fNpws.png 03/30 12:58
alihue : 需要找更多給你嗎? 03/30 12:58
alihue : 以一千萬薪資來說,東京都下、神奈川埼玉新房無壓 03/30 13:02
Elfego: 有人可以分析一下包養平台的差異嗎 03/30 13:02
alihue : 力低月付隨便買。新竹光交通娛樂就… 03/30 13:02
nelley : 噗現在連已經在日10年的經驗談都被說是都市傳說。 03/30 13:50
nelley : 好吧只能笑笑 03/30 13:50
juven030129 : https://tinyurl.com/3hk3p98z 可能日經假新聞? 03/30 14:09
priston : 放心 台積文化 日本人沒幾個做的下去 等著看 03/30 14:35
Nicodim: 那個包養網人最多XD 03/30 14:35
bla : 台灣房客只要想賴著,法規上房東很難趕走 03/30 14:36
nelley : 台灣兩年一簽到期後被漲價很常見吧。日本兩年約到 03/30 15:27
nelley : 了契約更新時房東想漲價要租客同意。我2019年日本 03/30 15:27
nelley : 開始通膨前到現在的房租都沒被漲過。當然現在才簽 03/30 15:27
nelley : 新約的肯定是漲過價的。很難漲不代表漲不了日經當 03/30 15:27
Foning: 我妹上包養網被我發現= = 03/30 15:27
nelley : 然沒有假新聞 03/30 15:27
jkl852 : 他自己內文說商社 結果舉出三家又不是商社 笑死 03/30 16:47
pujos : https://reurl.cc/D4GA7j 03/30 18:26
pujos : 通通給你算上去,年薪過千萬日幣全日本一共13間,比 03/30 18:27
pujos : 例...還真高啊 03/30 18:27
AKNY: 隔壁桌的人竟然在討論包養... 03/30 18:27
pujos : 13間加起來還不到32000人 03/30 18:29
pujos : 好笑的是這13間加起來,還沒一間台積電發的多 03/30 18:30
pujos : 日本好棒棒內 03/30 18:31
pujos : 論平均發的年薪,GG在台灣前十都沒有啊 03/30 18:34
pujos : 我抓8、900看起來還高估,這些日系企業,年資都比超 03/30 18:40
mysister: 樓上是不是被包養 03/30 18:40
pujos : 久的,一拖拉庫近20年才蹲成這樣,是要比命長的膩 03/30 18:40
pujos : 難怪進去就跑不了,沉沒成本太高,外面更低 03/30 18:41
soulgel : 130140在傳產可是大官啊!! 03/30 19:14
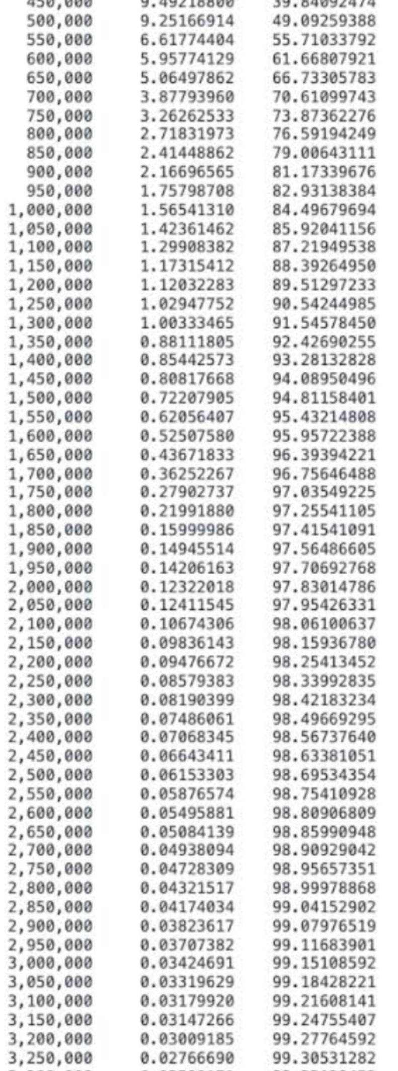
alihue : 就叫你查 PR 了,日本1000 萬年薪佔日本前 5% 03/30 19:32
alihue : https://i.imgur.com/3acIoui.png 03/30 19:32
cir72: 樓下被包養 03/30 19:32
alihue : 台灣 PR 95 是 150 萬 03/30 19:32
alihue : https://i.imgur.com/7Q6LCuk.jpg 03/30 19:32
pujos : 還PR勒XDD 03/30 19:39
pujos : 後面三成打工的篩掉,稅率不用看,出來的垃圾數字, 03/30 19:40
pujos : 有什麼參考價值 03/30 19:40
ATrain: 現包養都上檯面了嗎 03/30 19:40
pujos : 資料越看越覺得日本人可憐,無關乎一拖拉庫屌毛價格 03/30 19:41
pujos : 食品,現在2024年了 03/30 19:41
li04 : 原來台灣沒有打工人員 03/30 19:44
pujos : 110年的數字台灣部份工時人數占全體員工人數3.7%, 03/30 19:49
pujos : 跟日本比個毛 03/30 19:49
grado0802: 在包養網遇到朋友= = 03/30 19:49
alihue : PR 不過就開始嘴稅了啊,台灣多的收入還不是被房價 03/30 19:50
alihue : 吃掉 03/30 19:50
pujos : 差距五倍往上,你把台灣後面兩三成拿掉,平均/中位 03/30 19:50
pujos : 數薪資數字照樣沖上去,但這意義在哪? 03/30 19:50
pujos : 提房價更好笑,日本好買,自有率會這麼低 03/30 19:51
smilejin: 問卦:有包養SD的卦嗎 03/30 19:51
pujos : 成年人了,還在日本濾鏡,搞笑膩 03/30 19:52
alihue : 各種自己不知道哪來的觀念套在日本人XDDD 日本人看 03/30 19:53
alihue : 房子是負資產好嗎 03/30 19:53
pujos : 負資產ww,所以東京房價漲假的的就對了,自欺欺人 03/30 20:03
pujos : 眼睛不願意睜開實際上是很悲哀的事 03/30 20:04
qusekii: 隔壁桌好像是包養SD在見面XD 03/30 20:04
li04 : 全球很多地方房屋都是跟汽車一樣是被列為負資產的, 03/30 20:05
li04 : 只有台灣可以20年,放任全台所有地點房地產上漲,沒 03/30 20:05
li04 : 有任何管制 03/30 20:05
pujos : 負資產結果日本資產階級追高花大錢買,一定都是智障 03/30 20:06
pujos : 講出這句話,你自己信嗎? 03/30 20:07
Y949731: aSugarDating = 包養SD? 03/30 20:07
li04 : 而且每年的負擔比汽車還要少 03/30 20:07
li04 : 資產階級也在買每年跌價超過100萬的豪車,所以你認 03/30 20:10
li04 : 為汽車不是負資產 03/30 20:10
MoriNakamura: 有錢人追都心新築公寓主要是折舊稅金對策... 03/30 20:11
alihue : 我覺得你對日本真的有很多誤會,不熟的就安靜然後 03/30 20:12
T730733: 未看先猜這包養網 03/30 20:12
alihue : 去查,不是用自己錯的觀念冠在日本人身上 03/30 20:12
MoriNakamura: 自有率低就叫做日本房貴是真的笑死 日本租房率高是 03/30 20:16
MoriNakamura: 因為租房制度成熟 不用整天看房東臉色也能安心住y 03/30 20:17
MoriNakamura: 在日本房子是會折舊,公寓要每月提繳修繕費的 03/30 20:17
MoriNakamura: 不要拿台灣甚麼房子怎麼能便宜賣這種扭曲邏輯過來 03/30 20:18
FireStation: 有人知道包養SD是什麼嗎 03/30 20:18
li04 : 志村健再東京都,千代田的房子還沒人要繼承,看你要 03/30 20:21
li04 : 不要去領,你一年的薪水搞不好還不夠付“外觀維持費 03/30 20:21
li04 : ”,更別提稅金 03/30 20:21
stoke4096 : 日本房子稅高,維護費高,還不如租,首都圈賺完回 03/30 20:51
stoke4096 : 老家 03/30 20:51
Thobel: 一定又是這包養網 03/30 20:51
king123 : 十年前大學畢業前信箱有收到日本職缺資訊 就是這個 03/30 20:54
king123 : 價了 十年完全沒長進 連十年前都沒啥吸引力了 03/30 20:54
meizhi : 現在也只剩皇民還在吹捧這些垃圾傳產了 03/30 21:01
WTS2accuracy: 別跟這槓精較真了 浪費時間 03/30 23:40
lovemost : 台灣100萬年薪就已經是PR80了好嗎,論薪資日本勝台 03/31 00:05
Reji: 包養平台不意外 03/31 00:05
lovemost : 灣太明顯了,台灣人是有錢人有錢和資產所得高 03/31 00:05
cunankimo : 日本高的話 早就一堆人跑了 誰跟你留新竹 03/31 00:27
c41231717 : 現在的差距在稅 03/31 01:00
aa8502 : 呵 03/31 04:38
transfixgod : 台灣沒有台積電不是跟菲律賓差不多 03/31 08:37
Hathael: 覺得包養網EY嗎 03/31 08:37
transfixgod : 是跟中國差不多 03/31 08:37
s06yji3 : 美國高也沒一堆人跑啊,還不是留新竹。你以為高就跑 03/31 08:51
s06yji3 : 的去嗎? 03/31 08:51
yytseng : 這邊雙標八卦仔扯到有錢人的時候就扯地下經濟 03/31 08:51
yytseng : 各個都是8+9房東八大詐騙,然後現在跟日本比又忘了 03/31 08:52
yovroc: 包養網站葉配啦 03/31 08:52
yytseng : 也不意外啦,反正他們領不到的錢就眼紅而已 03/31 08:52
yytseng : 20年領兩千萬日幣,這來竹科敢出來講被笑笑笑笑死 03/31 08:53
fju0911 : 我也想跑啊,但不夠有錢移民咩。 03/31 12:46
nelley : 結果搞到後來是貼標籤大賽,皇民雙標八卦仔都出來 03/31 13:18
nelley : 了 03/31 13:18
helgalie: 記者收了包養網多少啦 03/31 13:18
ohohohya : 日本都市區要花比台灣房價高的價格買木造平房喔 我 03/31 13:51
ohohohya : ok你先買 03/31 13:51
nekomo : 日本是文科商科比理工科薪水高 然後稅重到誇張 03/31 13:59
newwer : 結論就是台灣科技業薪水屌打日本,阿不過這不是早就 03/31 18:11
newwer : 知道了嗎,jasm開給日本大學畢業生也才稅前28萬日幣 03/31 18:11
OREOMZA: 包養真亂 03/31 18:11
newwer : 根本沒對齊台灣gg的薪水,所以你直接拉台灣g的薪水 03/31 18:11
newwer : 過去比日本就不合理,因為台灣科技業薪水贏太多了 03/31 18:11
horb : 台灣更慘。 03/31 19:37
horb : 要比也是比人家真的賺錢的頭又大 03/31 19:43
horb : 拿台灣最賺錢的去比日本一般產業。很怪 03/31 19:44
punjab: 演藝圈一堆包養好嗎 03/31 19:44
cht12341234 : 去鴻海外派越南35歲就年薪過200,這在日本是無法想 04/02 18:03
cht12341234 : 像的天文數字,不要提日本豐田,豐田薪水就是笑話 04/02 18:03
cht12341234 : ,一堆人被挖角去中韓,如果沒有終生僱用制,日本 04/02 18:03
cht12341234 : 薪水就是貧戶 04/02 18:03